Упр.294 ГДЗ Никольский Потапов 9 класс (Алгебра)

Решение #1

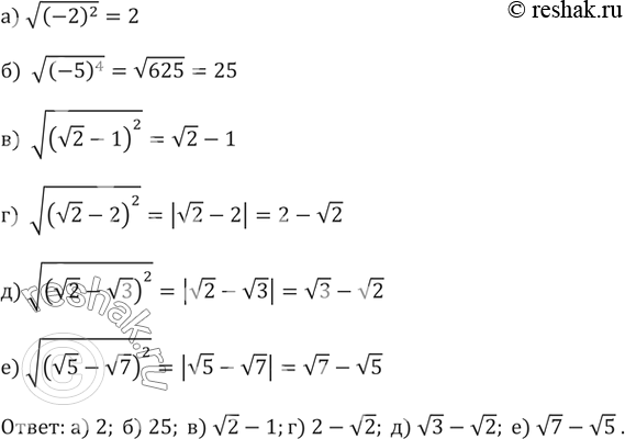
Изображение 294. Вычислите:а) корень из (-2)^2б) корень из (-5)^4в) корень из (корень из 2-1)^2г) корень из (корень из 2 - 2)^2д) корень из (корень из 2-корень из 3)^2е)...

Решение #2

Изображение 294. Вычислите:а) корень из (-2)^2б) корень из (-5)^4в) корень из (корень из 2-1)^2г) корень из (корень из 2 - 2)^2д) корень из (корень из 2-корень из 3)^2е)...

Рассмотрим вариант решения задания из учебника Никольский, Потапов 9 класс, Просвещение:
294. Вычислите:
а) корень из (-2)^2
б) корень из (-5)^4
в) корень из (корень из 2-1)^2
г) корень из (корень из 2 - 2)^2
д) корень из (корень из 2-корень из 3)^2
е) корень из (корень из 5 - корень из 7)^2
*Цитирирование задания со ссылкой на учебник производится исключительно в учебных целях для лучшего понимания разбора решения задания.
*размещая тексты в комментариях ниже, вы автоматически соглашаетесь с пользовательским соглашением