Упр.563 ГДЗ Бунимович Кузнецова 6 класс (Математика)

Решение #1

Изображение 563 Найдите значение суммы а + b + с при указанных значениях а, b и с:а) а = 17, b = -23, с = -9;б) а = -33, b = -18, с = 26;в) а = 25, b = -19, с = 50;г) а =...

Рассмотрим вариант решения задания из учебника Бунимович, Кузнецова, Минаева 6 класс, Просвещение:
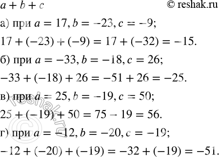
563 Найдите значение суммы а + b + с при указанных значениях а, b и с:
а) а = 17, b = -23, с = -9;
б) а = -33, b = -18, с = 26;
в) а = 25, b = -19, с = 50;
г) а = -12, b = -20, с = -19.
*Цитирирование задания со ссылкой на учебник производится исключительно в учебных целях для лучшего понимания разбора решения задания.
*размещая тексты в комментариях ниже, вы автоматически соглашаетесь с пользовательским соглашением