Упр.700 ГДЗ Колягин Ткачёва 8 класс (Алгебра)
Решение #1

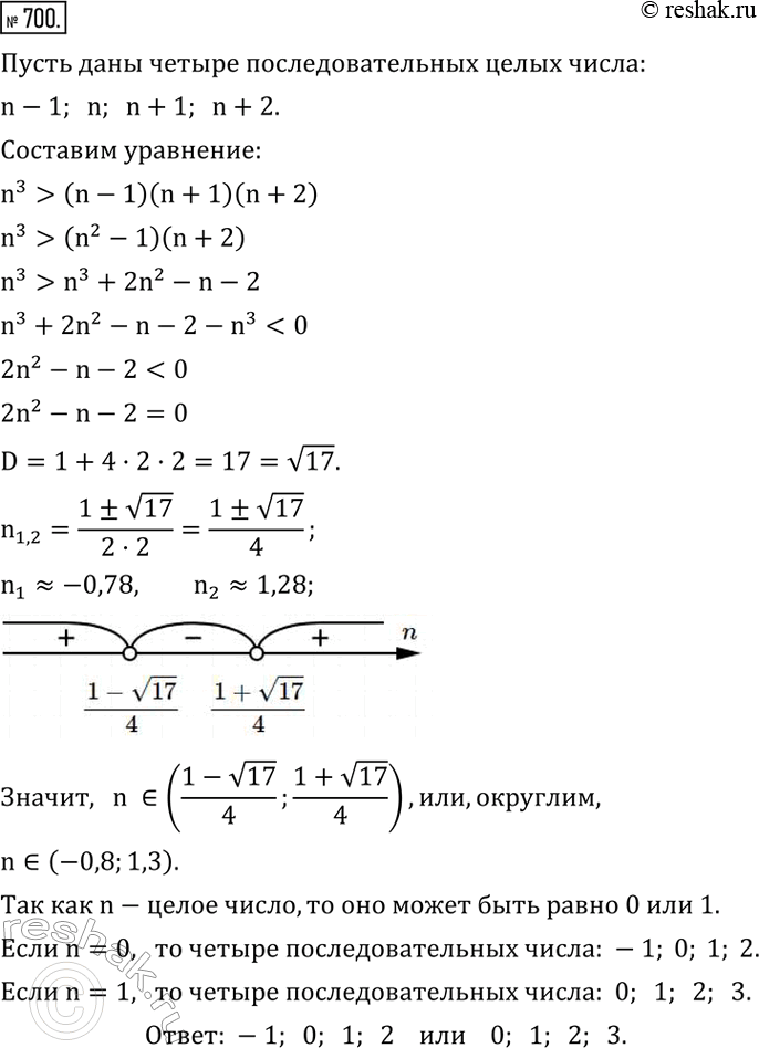
Рассмотрим вариант решения задания из учебника Колягин, Ткачёва, Фёдорова 8 класс, Просвещение:
700. Найти четыре последовательных целых числа, такие, что куб второго из них больше произведения трех остальных.
*размещая тексты в комментариях ниже, вы автоматически соглашаетесь с пользовательским соглашением