Упр.20.4 ГДЗ Мордкович 7 класс (Алгебра)
Решение #1

Рассмотрим вариант решения задания из учебника Мордкович, Александрова 7 класс, Мнемозина:
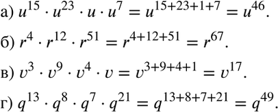
а) u15 * u23 *u * u7;
б) r4 * r12 * r51;
в) v3 * v9 * v4 * v;
г) q13 * q8 * q7 * q21.
*размещая тексты в комментариях ниже, вы автоматически соглашаетесь с пользовательским соглашением