Упр.8.24 ГДЗ Мордковича 11 класс профильный уровень (Алгебра)
Решение #1
Решение #2(записки учителя)
Решение #3(записки школьника)

Рассмотрим вариант решения задания из учебника Мордкович, Семенов 11 класс, Мнемозина:
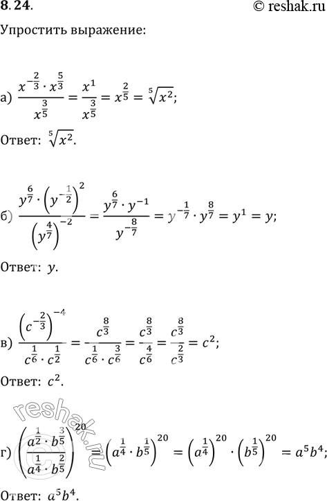
8.24
а)(x-2/3*x5/3)/x3/5;
б)(у6/7*(y-1/2)2)/(y4/7)-2;
в)(с-2/3)-4/(c1/6*c1/2);
г)((a1/2*b3/5)/(a1/4*b2/5))20.
*размещая тексты в комментариях ниже, вы автоматически соглашаетесь с пользовательским соглашением